
2012年,PM2.5首次纳入《环境空气质量标准》,我国的空气质量监测体系迎来一次关键升级,陈松蹊教授带领研究团队开始关注并追踪中国城市的空气质量变化。次年,74个重点城市开始实时公布PM2.5监测数据,其中仅有3个达到当时的国家二级标准,整体年均浓度达到72微克/立方米,是当时二级标准(35微克/立方米)的两倍多。2015年3月,团队首份空气质量评估报告出炉,每年一期,从无间断。
十余年来,历经“大气污染防治行动计划”、“蓝天保卫战”、“空气质量持续改善行动计划”等关键阶段,中国大气治理走出了一条清晰轨迹:2025年较2013年,全国地级及以上城市PM2.5均值下降逾六成,重污染天数减少九成以上,空气质量达标城市占比从不足1/4提升至超过七成,同期,我们的经济总量翻了一番有余,实现改善与增长两手抓。研究团队以每年一期的报告,持续记录与映证了这一进程中空气污染的结构演变和治理重心的转移。
2026年,随着“十五五”开局和新一版空气质量标准启动实施,大气治理进入更为精细的深水区。研究团队最新发布的第13期报告,系统评估了“十四五”期间177城市的改善成效,着重分析了污染物减排结构变化、粗细颗粒物分化、臭氧季节延长以及极端污染风险等新特征,并对标新标准,评估了各地优良天数比例的变动空间,提出了后续的治理建议。所有数据均经过气象调整和沙尘去除处理,以反映排放管控的实际成效。

本期报告在上期“4+151”城市的基础上,新增甘肃省14个地级市(州)和青海省8个地级市(州),共计22个城市。至此,研究区域覆盖全国177个地级及以上城市,涉及1053个国控空气质量监测站点,占全国人口约59.4%。
•代表污染站点,△代表气象站点
(图中黄色区域为京津冀及周边地区“2+36”城市,橙色区域为汾渭平原 13 市,紫色区域为长三角地区,灰色区域为“其他城市”)
此前,针对西北地区空气质量的学术研究多集中于重点城市(如兰州、西宁)或典型污染事件,覆盖全部地级市、长时间序列、经过气象和沙尘调整的系统性评估相对缺失。此次报告将甘肃、青海两省纳入长期追踪范围,有助于更完整地刻画我国大气污染的区域异质性。
初步评估显示,新增城市呈现出与中东部不同的污染特征。2025年,甘肃酒泉、张掖、临夏等城市PM10年均浓度位居177个城市前列,粗颗粒物问题突出;青海西宁、海东等地一氧化碳浓度相对较高。同时,两省部分城市在2025年出现颗粒物的反弹迹象——甘肃PM2.5与PM10浓度同比分别上升9.5%和16.1%,青海PM10浓度亦有回升。这些新纳入的城市为理解西部地区的污染成因和治理需求提供了重要样本,也提示下一阶段政策需更加关注区域差异化特征。
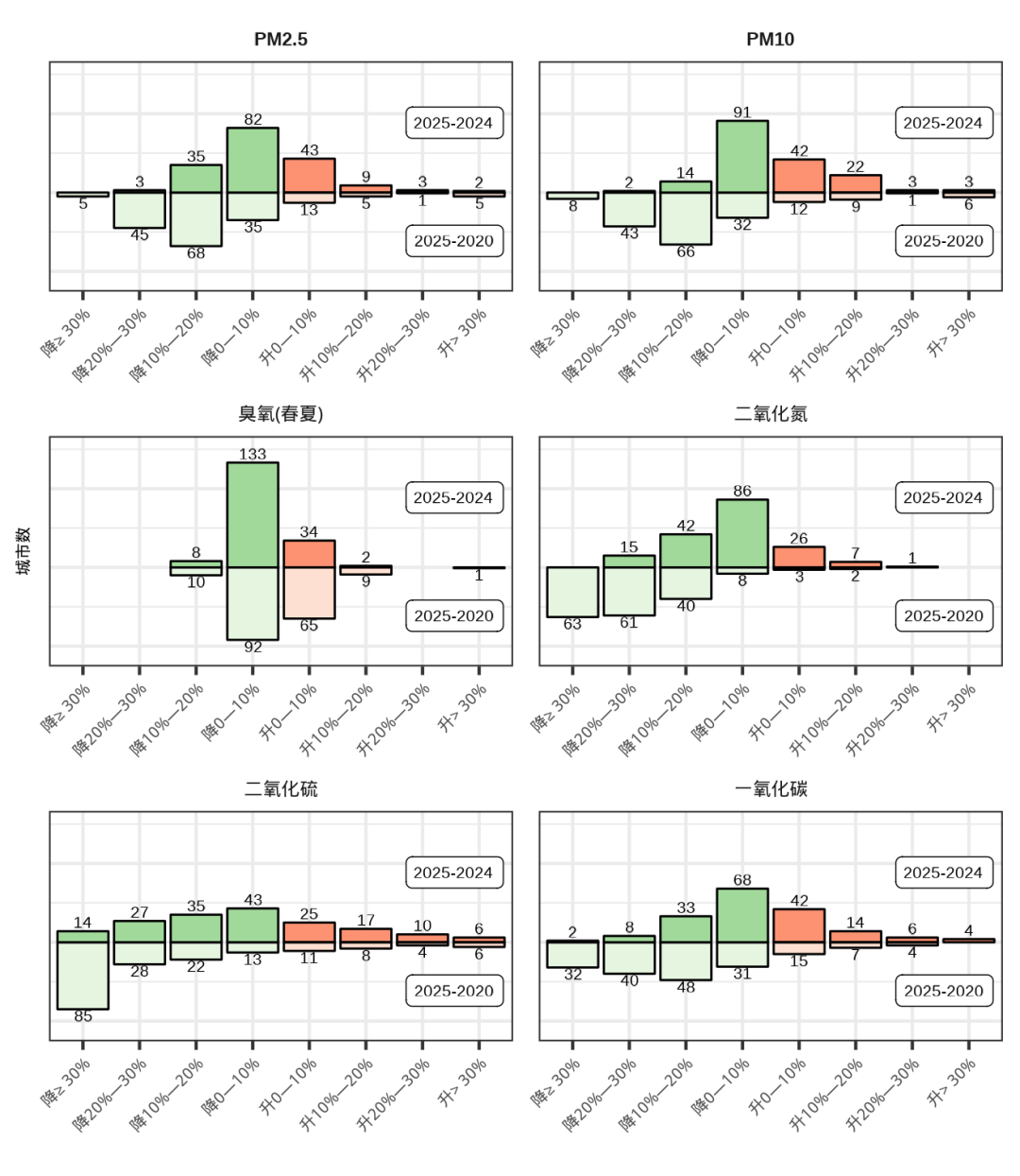
“十四五”期间,18省市空气质量综合指数较2020年下降14.1%。六类污染物中,二氧化氮改善最为突出,城市平均降幅达25.3%;二氧化硫和一氧化碳也分别下降24.6%和15.3%;PM2.5和PM10降幅分别为11.7%和11.2%。
从区域看,传统重污染区域的改善幅度尤为明显。山东、山西、河南、河北等省份形成了SO₂、NO₂、CO及颗粒物协同下降的格局,安徽、江西、内蒙古等省份也实现较为均衡的改善。报告认为,以细颗粒物为核心的多污染物协同控制策略具有广泛适用性。

2025 年“4+173”城市六类污染物浓度较 2020 年(浅色柱体)和 2024 年(深色柱体)降幅分组统计频率直方图。
“十四五”期间,二氧化氮以25.3%的城市平均降幅,从“十三五”的二氧化硫手里接过了流动红旗,成为改善幅度最大的污染物,污染改善的主次结构发生了明显变化。
“十三五”期间,燃煤源减排是主要驱动力,推动二氧化硫累计下降57%;进入“十四五”,随着燃煤电厂超低排放改造基本完成,减排空间收窄,二氧化硫降幅回落至24.6%。与此同时,二氧化氮降幅由“十三五”的11.5%扩大至25.3%,移动源和工业燃烧源的减排贡献开始显现。从区域看,各省市二氧化氮均呈下降态势,体现了《空气质量持续改善行动计划》对氮氧化物减排的政策引导作用。

“2+36”城市、汾渭平原和长三角地区 2016–2025 年六种污染物年平均浓度时间序列图
与“十三五”相比,PM2.5和PM10的降幅亦有所收窄,反映出治理进入深水区后边际难度上升。同时,报告也注意到区域间改善进程的差异:京津、川渝及江浙地区部分污染物降幅与周边同类型省份存在差距,甘肃、宁夏、青海等西北地区出现PM10反弹、PM2.5改善效果不佳的问题。
四、粗细颗粒物分化,PM10改善主要靠PM2.5“拉着走”
2015至2025年,18省市PM10平均浓度下降41.6微克/立方米,其中PM2.5贡献了64.9%。也就是说,PM10的整体改善有近三分之二来自细颗粒物的下降。
“十四五”期间,粗颗粒物(PM10-2.5)城市平均降幅为9.3%,低于PM2.5的11.7%。2025年,两者分化更为明显:PM2.5同比下降1.3微克/立方米,粗颗粒物同比上升1.1微克/立方米。

“4+173”城市去除气象因素影响后 PM2.5 和 PM10 2016–2025 年平均浓度(微克/立方米)时间序列
分区域看,汾渭平原粗颗粒物浓度(41.3微克/立方米)已高于PM2.5(36.5微克/立方米),与京津冀及周边(32.9微克/立方米)、长三角(22.7微克/立方米)形成对照。西北地区的反弹趋势也较为明确,甘肃、宁夏、青海PM10浓度均有回升。
报告认为,以PM2.5为核心的治理策略对细颗粒物及其前体物管控效果显著,但对扬尘等粗颗粒源的控制需要更有针对性的措施,建议推动颗粒物治理从“细颗粒物主导”向“粗细协同控制”转型,针对西北地区、汾渭平原PM10改善滞后问题,强化施工、道路、堆场及裸地扬尘精细化管控。
五、“十四五”臭氧凭2025年力挽狂澜,能立住吗?
臭氧是六类污染物中情况最特殊的一个。“十三五”期间,当其他五项污染物持续下降时,春夏臭氧浓度累计上升15.4%,是唯一不降反升的。“十四五”期间,这一趋势初步得到遏制,整体与2020年持平,但主要是由于2025年的“逆袭”。
2022至2024年,除江浙沪、江西和陕西外,其余省份春夏臭氧浓度在2020‑2021 年的阶段性低点上再次反弹。臭氧问题在PM2.5持续改善的背景下愈发突出。2025年,转折出现——春夏臭氧浓度实现2021年以来首次大范围改善,夏、秋季分别较上年下降7%和10.1%,122个城市显著改善。山东、山西、河北、陕西等省份降至2017年以来最低水平。

“4+173”城市去除气象因素影响八小时 O3(春夏)和 NO2,2016–2025 年平均浓度(微克/立方米)时间序列
报告审慎指出,这一改善的持续性有待后续年份验证。多数省份臭氧浓度仍高于疫情防控期的低点,重庆、上海较2021年升幅超过10%,北京自2021年起持续上升,2025年已超过河北省平均水平。超大城市臭氧污染问题尚未缓解。
值得警惕的是,臭氧污染的季节格局正在改变。2025年177个城市的春夏臭氧浓度差值由上一年的15微克/立方米缩小至5微克/立方米,约三分之一城市的春季臭氧浓度已接近甚至超过夏季,江浙沪皖及江西地区春季污染尤为突出,39个城市春季浓度较上年显著上升,平均升幅8.9%。臭氧污染正从“夏季限定”向“春夏并重”转变。
报告同时注意到,二氧化氮作为臭氧的重要前体物,与臭氧的协同关系正在减弱。2017至2021年,两者浓度整体同步下降;2022年后,二氧化氮继续平稳下降,臭氧却出现阶段性反弹。2025年,重庆、上海、北京等臭氧反弹地区,二氧化氮浓度均较上年显著下降。这意味着,现阶段仅靠二氧化氮减排已难以持续带动臭氧浓度下降,臭氧生成正逐渐转向VOCs限制或二者协同控制模式。2025年的治理成效为臭氧污染防治提供了可借鉴的经验,但其持续性有待观察,相关措施值得深入总结。
年均浓度和优良天数比例是公众最熟悉的两个指标,但它们对急性健康风险的表征并不充分。报告用每年污染最严重季节的90%分位数——对应每年至少9至10天较高污染状态的浓度值——来捕捉这些“刺客”出没的日子。
2025年,177个城市中仅61个城市臭氧年90%分位数达标,覆盖人口18.2%;仅29个城市PM2.5年90%分位数达标,覆盖人口8.9%。超过九成人口所在城市的PM2.5极端污染水平尚未达到过渡期标准。

“4+173”城市去除气象因素影响 PM2.5 和八小时 O3 年 90% 分位数浓度(微克/立方米),2016–2025 年时间序列
一个更值得注意的细节是:在PM2.5年均浓度达标的城市中,仅有42%实现了日均浓度同步达标。也就是说,部分“达标”城市的居民,仍然可能遭遇极端污染天气“偷袭”。
从季节看,秋季PM2.5极端污染出现反弹,100个城市同比上升,超标城市较上年增加9个;春季臭氧极端污染同样呈上升态势。两类污染物的极端高值区域高度重合,约三分之二集中在京津冀及周边,山东、河北、河南尤为典型,值得一提的是,淮北作为长三角地区城市,竟在2024-2025年连续进入PM2.5与臭氧极端污染“双高”行列。
报告认为,随着治理深入,仅靠“季节重点管控”已不足以应对污染风险的季节再分配,建议向“日尺度风险精准防控”延伸,在持续消除重污染天气的基础上,进一步降低极端污染暴露水平。
2026年3月1日,新版《环境空气质量标准》正式实施,日均浓度“良”的上界也相应收紧。新标准分两步走:2026至2030年为过渡期,PM2.5执行30微克/立方米的年均限值和60微克/立方米的日均限值;2031年起全面执行25微克/立方米和50微克/立方米的标准。届时,PM2.5二级限值总体与世界卫生组织全球空气质量指南第二阶段过渡值相当。
研究团队自2019年第6期报告起持续呼吁对标国际标准。此次修订,是对包括本团队在内的广大科研工作者呼吁的积极回应。
更严的标准会不会让达标率大幅滑坡?报告基于2025年数据做了模拟。按过渡期日均标准,177个城市的PM2.5优良天数比例均值为89.7%;按2031年标准,该比例仍有83.8%,比2016年采用宽松标准时的78.8%还高出5个百分点。

这说明:第一,过去十年的治理积累,为新标准预留了缓冲空间——达标压力没有想象中那么大。第二,更严的标准将重新拉开城市间的差距,对已达标者是继续改善的激励,对尚未达标者是加强治理的动力。
当然,如果对标2031年标准,目前全国仍有约六成城市的PM2.5年均浓度高于25微克/立方米(生态环境部数据)。新标准不是终点,而是下一阶段治理的起跑线。我们,仍有进步空间。
//www.songxichen.com/AQAssess/#/home
分省市自定义报告可以登录平台自动生成,亦可从经典三级下载完整报告原文。
郭 斌 教授
西南财经大学统计研究中心、统计与数据科学学院
陈松蹊 教授,课题负责人
经典三级
数据科学交叉研究院